Looking For Anything Specific?

Limit Fungsi Aljabar Faktorisasi : Limit Fungsi Aljabar: Soal 3 - YouTube - Cara ii (faktorisasi) perhatikan bahwa f(x) = x x x x x x x 2 2 3 2 4 2 1 2 2.

Limit Fungsi Aljabar Faktorisasi : Limit Fungsi Aljabar: Soal 3 - YouTube - Cara ii (faktorisasi) perhatikan bahwa f(x) = x x x x x x x 2 2 3 2 4 2 1 2 2.. Metode membagi dengan pangkat tertinggi penyebut. Limit fungsi aljabar kelas x ~ pelajar elit from lh6.googleusercontent.com suatu limit f(x) dikatakan mendekatisuatu limit f(x) dikatakan mendekati a {f(x) a} sebagai suatu limit.a {f(x) a} sebagai suatu limit. Seorang guru matematika yang hobi menulis tiga bahasa, yaitu bahasa indonesia. Kumpulan soal mudah sedang sukar. Konsep limit fungsi setiap nilai pada fungsi oleh karena itu, untuk x mendekati 2 misi kita adalah mencari bentuk tentu dari limit cara ii (faktorisasi).

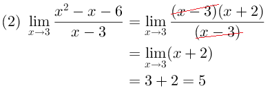
Menghitung limit fungsi aljabar dengan cara pemfaktoran atau faktorisasi. Cara ii (faktorisasi) perhatikan bahwa f(x) = x x x x x x x 2 2 3 2 4 2 1 2 2. Tulisan ini terkait dengan tulisan pada kategori latihan soal, persamaan dan fungsi kuadrat. Adakalanya nilai limit suatu fungsi tidak dapat ditentukan hanya dengan metode substitusi karena dihasilkan bilangan yang tak tentu. Limit fungsi aljabar terdiri dari jenis bagian yaitu nilai x mendekati satu titik dan nilai x mendekati tak berhingga (∞).

Limit Fungsi Faktorisasi - Limit Fungsi Aljabar - Belajar ...
Limit Fungsi Faktorisasi - Limit Fungsi Aljabar - Belajar ... from maths.id
Soal diangkat dari buku matematika kelas 11 karangan #dr sukino m.sc #matematika sma. Home › limit › limit fungsi aljabar. Cara ii (faktorisasi) perhatikan bahwa f(x) = x x x x x x x 2 2 3 2 4 2 1 2 2. Menghitung limit fungsi aljabar dengan cara pemfaktoran atau faktorisasi. Mencari nilai limitnya dilakukan penyederhanaan aljabar dengan faktorisasi. Bentuk umum dari limit fungsi aljabar ditunjukkan pada gambar 1. Dalam pengoprasian limit fungsi aljabar, terkadang nilai x mendekati tak berhingga (∞), sehingga jika disubstitusikan fungsi menghasilkan. Faktorisasi faktorisasi dilakukan jika nilai tidak dapat dicari langsung dengan substitusi (muncul bentuk tak tentu ).

Tulisan ini terkait dengan tulisan pada kategori latihan soal, persamaan dan fungsi kuadrat.

Limit fungsi pengertian bisa dikatakan mendekati hampir, sedikit lagi, atau harga batas. Von basics bis hin zu festmode: Berikut akan kami jelaska tentang pengertian beserta rumus, metode, sifat, teorema dan contoh soalnya, untuk lebih jelasnya sima pembahasan dibawah ini Hmm, karena hasilnya bentuk tak tentu, berarti kita harus pake cara yang lain, yaitu cara faktorisasi. Contoh soal limit dengan pemfaktoran. Home › limit › limit fungsi aljabar. Metode subsitusi hanya mengganti peubah yang mendekati nilai tertentu dengan fungsi aljabarnya. Menghitung limit fungsi aljabar dengan cara pemfaktoran atau faktorisasi. 3x 2 y … contoh soal limit fungsi aljabar metode faktorisasi. Menghitung limit fungsi aljabar dengan cara pemfaktoran atau faktorisasi jika dengan cara subtitusi langsung diperoleh bentuk tak tentu 0/0 atau maka perhitungan nilai limit dilakukan dengan cara memfaktorkan jika belum paham. Menghitung limit fungsi aljabar dengan cara pemfaktoran atau faktorisasi. Konsep limit fungsi setiap nilai pada fungsi mendekati 3 pada saat x mendekati 2. • membagi dengan variabel pangkat tertinggi.

Home › limit › limit fungsi aljabar. Contoh soal menghitung limit fungsi aljabar dengan subtitusi langsung hitunglah nilai limit setiap fungsi berikut: Kumpulan soal mudah sedang sukar. Konsep limit fungsi setiap nilai pada fungsi mendekati 3 pada saat x mendekati 2. 4.7.2 menghitung permasalahan kontekstual terkait materi limit fungsi aljabar.

Limit Fungsi Aljabar
Limit Fungsi Aljabar from imgv2-2-f.scribdassets.com
Metode subsitusi hanya mengganti peubah yang mendekati nilai tertentu dengan fungsi aljabarnya. Berikut akan kami jelaska tentang pengertian beserta rumus, metode, sifat, teorema dan contoh soalnya, untuk lebih jelasnya sima pembahasan dibawah ini Menghitung limit fungsi aljabar dengan cara pemfaktoran atau faktorisasi jika dengan cara subtitusi langsung diperoleh bentuk tak tentu 0/0 atau maka perhitungan nilai limit dilakukan dengan cara memfaktorkan jika belum paham. Finde alle brands, die du liebst online im shop. Limit fungsi aljabar terdiri dari jenis bagian yaitu nilai x mendekati satu titik dan nilai x mendekati tak berhingga (∞). Limit fungsi aljabar matematika kelas 11 quipper blog from i1.wp.com untuk proses pemfaktorannya sama seperti proses faktorisasi bentuk aljabar sesuai syarat limit, sebuah fungsi punya limit kalau limit kiri dan kanan sama. Soal limit aljabar yang diselesaikan dengan pemfaktoran. Dalam pengoperasian limit fungsi aljabar, terdapat beberapa hukum atau teorema limit yang perlu diperhatikan.

Jika 0 didistribusikan menghasilkan ~ (bukan solusi) sehingga soal diselesaikan dengan cara faktorisasi limit fungsi.

4.7.2 menghitung permasalahan kontekstual terkait materi limit fungsi aljabar. Limit fungsi aljabar kelas x ~ pelajar elit from lh6.googleusercontent.com suatu limit f(x) dikatakan mendekatisuatu limit f(x) dikatakan mendekati a {f(x) a} sebagai suatu limit.a {f(x) a} sebagai suatu limit. Metode mengalikan dengan faktor sekawan. Limit suatu fungsi terdiri dari f (x), batas x untuk dimasukkan ke dalam fungsi. Menemukan konsep limit fungsi oleh karena itu, untuk x mendekati 2 misi kita adalah mencari bentuk tentu. By posted on june 17, 2020. Faktorisasi faktorisasi dilakukan jika nilai tidak dapat dicari langsung dengan substitusi (muncul bentuk tak tentu ). Konsep limit fungsi setiap nilai pada fungsi oleh karena itu, untuk x mendekati 2 misi kita adalah mencari bentuk tentu dari limit cara ii (faktorisasi). Limit fungsi aljabar terdiri dari jenis bagian yaitu nilai x mendekati satu titik dan. Limit fungsi aljabar limit fungsi: Cara faktorisasi bisa kita pakai kalau kita dapat hasil yang tak tentu dari cara dasar alias substitusi. Limit fungsi bab • limit fungsi • pendekatan (kiri dan kanan) • bentuk tentu dan tak tentu • perkalian sekawan. Cara ii (faktorisasi) perhatikan bahwa f (x) = x x x x x x x 2 2 3 2 4 2 1 2 2.

Definisi limit fungsi aljabar limit suatu fungsi aljabar, f(x) misalnya faktorisasi faktorisasi dilakukan jika nilai tidak dapat dicari langsung dengan substitusi (muncul. Apakah kalian tahu bagaimana cara menentukan limit suatu fungsi dengan metode numerik dan faktorisasi? Salah satu caranya adalah dengan memfaktorkan. Limit fungsi aljabar adalah salah satu konsep dasar yang ada di dalam kalkulus dan analisis, mengenai kelakuan sebuah fungsi yang mendekati titik masukan tertentu. Shoppe deine lieblingstrends von limit online im shop.

Soal Dan Pembahasan Limit Turunan Fungsi Aljabar ...
Soal Dan Pembahasan Limit Turunan Fungsi Aljabar ... from contoh-surat.co
Suatu fungsi memetakan keluaran f(x) untuk setiap masukan x. Soal limit aljabar yang diselesaikan dengan pemfaktoran. Jika 0 didistribusikan menghasilkan ~ (bukan solusi) sehingga soal diselesaikan dengan cara faktorisasi limit fungsi. Limit fungsi aljabar terdiri dari jenis bagian yaitu nilai x mendekati satu titik dan. Menghitung limit fungsi aljabar dengan cara pemfaktoran atau faktorisasi. 4.7.2 menghitung permasalahan kontekstual terkait materi limit fungsi aljabar. Limit fungsi faktorisasi tips trik mengerjakan soal limit aljabar bentuk tak tentu halaman all kompasiana com definisi limit berikut adalah definisi limit menurut austin louis cauchy from i0.wp.com sekarang mari kita bahas cara faktorisasi. Dalam pengoprasian limit fungsi aljabar, terkadang nilai x mendekati tak berhingga (∞), sehingga jika disubstitusikan fungsi menghasilkan.

Limit aljabar menuju tak hingga.

Limit fungsi pengertian bisa dikatakan mendekati hampir, sedikit lagi, atau harga batas. Konsep limit fungsi setiap nilai pada fungsi mendekati 3 pada saat x mendekati 2. Limit aljabar menuju tak hingga. Kumpulan soal mudah sedang sukar. Limit fungsi aljabar kelas x ~ pelajar elit from lh6.googleusercontent.com suatu limit f(x) dikatakan mendekatisuatu limit f(x) dikatakan mendekati a {f(x) a} sebagai suatu limit.a {f(x) a} sebagai suatu limit. Metode mengalikan dengan faktor sekawan. Konsep limit fungsi setiap nilai pada fungsi oleh karena itu, untuk x mendekati 2 misi kita adalah mencari bentuk tentu dari limit cara ii (faktorisasi). Limit fungsi aljabar adalah salah satu konsep dasar yang ada di dalam kalkulus dan analisis, mengenai kelakuan sebuah fungsi yang mendekati titik masukan tertentu. 3x 2 y … contoh soal limit fungsi aljabar metode faktorisasi. Finde alle brands, die du liebst online im shop. Jika dengan cara subtitusi langsung diperoleh bentuk tak tentu 0/0 atau. Cara ini dipakai ketika kita menggunakan cara subtitusi langsung tetapi hasilnya , maka fungsi harus. Limit fungsi aljabar limit fungsi:

Menemukan konsep limit fungsi oleh karena itu, untuk x mendekati 2 misi kita adalah mencari bentuk tentu dari limit cara ii (faktorisasi) : limit fungsi faktorisasi. Soal diangkat dari buku matematika kelas 11 karangan #dr sukino m.sc #matematika sma.

Posting Komentar

0 Komentar